Errata for 'Algebra - Notes from the Underground' (2021)
Highlighted in red are the needed changes, embedded
in text matching the published version and identified by page and position
on the page (e.g., `p.10, top'). A bold reference indicates an
error in the published version which may be more confusing, such as a
missing hypothesis in an exercise.
This list is bound to grow forever. (79 items so far.)
The contribution of many readers is gratefully acknowledged.
Last updated: 12/12/24.
Chapter 1
- p.5, middle:
- p.5, bottom:
- p.6, end of section 1.1:
- p.8, second paragraph:
- p.9, top:
- p.9, bottom:
- p.11, top:
- p.14, Proof of Theorem 1.21, (i):
- p.20, Exercise 1.2:
- p.21, Exercise 1.24:
- p.21, Exercise 1.26:
Chapter 2
- p.40, Exercise 2.21:
Chapter 3
- p.41, Definition 3.1, preamble:
- p.41, Definition 3.1, part (ii):
- p.42, top:
- p.42, middle:
- p.46, top:
- p.49, top:
- p.51, end of section 3.2:
- p.54, middle:
- p.56, bottom:
- p.57, Exercise 3.9:
- p.58, Exercise 3.20:
- p.58, Exercise 3.22:
Chapter 4
- p.66, Example 4:22:
- p.70, top:
- p.74, Example 4.43:
Chapter 5
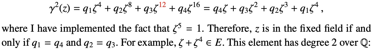
- p.79, Example 5.4:
- p.90, Proof of Theorem 5.37:
- p.94, third paragraph:
- p.103, Exercise 5.10:
Chapter 6
- p.109, Example 6.14:
- p.110, Paragraph following Definition 6.16:
- p.120, Lemma 6.41:
- p.124, Theorem 6.45:
- p.127, Exercise 6.14:
- p.127, Exercise 6.15:
- p.128, Exercise 6.22:
- p.128, Exercise 6.23:
Chapter 7
- p.129, bottom half:
- p.144, footnote:
- p.145, third paragraph:
- p.147, Example 7.37:
- p.148, top:
- p.148, Exercise 7.10:
- p.149, Exercise 7.26:
Chapter 8
- p.154, Definition 8.1:
- p.157, Definition 8.11:
- p.171, Exercise 8.2:
- p.173, Exercise 8.20:
Chapter 9
- p.196, top:
- p.201, Exercise 9.19:
Chapter 10
- p.211, Example 10.15:
- p.212, Theorem 10.18:
- p.215, paragraph preceding Theorem 10.22:
Chapter 11
- p.229, Definition 11.1:
- p.233, Definition 11.13:
- p.261, Example 11.71:
- p.266, Exercise 11.34:
Chapter 12
- p.276, Example 12.27:
- p.291, Exercise 12.20:
Chapter 13
- p.306, bottom:
Chapter 14
- p.322, Example 14.7:
- p.324, Corollary 14.11:
Chapter 15
- p.353, bottom:
- p.374, Exercise 15.3:
- p.353, Exercises 15.4 and 15.5:
Appendix A
- p.379, Example A5:
- p.391, Example A14:
- p.400, second-to-last bullet point:
- p.400, last bullet point:
Appendix B
- p.404, Exercise 1.26:
- p.407, Exercise 3.14:
- p.409, Exercise 4.19:
- p.422, Exercise 7.26, first paragraph:
- p.422, Exercise 7.26, second paragraph:
- p.456, Exercise 15.3:
- p.457, top:
- p.457, Exercise 15.4: