EXAMPLE 2.3.11 Solution
Let p be the statement "I get elected."
Let q be the statement "I take lots of bribes."
Let r be the statement "I reduce taxes."
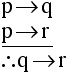
The argument as this symbolic form:
Notice that although this form looks somewhat similar to Transitive Reasoning, in fact it is significantly different from Transitive Reasoning in the second premise and the conclusion.
In fact, a truth table will show you that this argument is INVALID.

Notice that in the sixth row both premises are true while the conclusion is false. This shows that the
argument is INVALID.
This form of invalid argument is known as a false chain. Another false chain has the following form:

Here's what the truth table shows for this form:

Notice that in the second row the premises are both true while the conclusion is false.
This shows that the argument is INVALID.