EXAMPLE 2.5.15 SOLUTION

First, we recognize that all of the premises can be written as "if...then" statements, so we rephrase the premises as follows:

If one is a body builder, then one isn't weak.

If one is a professional wrestler, then one is a body builder.

If one is a 300-pound man with bleached hair and sequined tights, then one is a professional wrestler.

If one is Plato, then one is weak.

 

Now symbolize the premises:

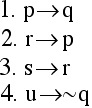
Let p: "One is a body builder."

Let q: "One isn't weak."

Let r: "One is a professional wrestler."

Let s: "One is a 300-pound man with bleached hair and sequined tights."

Let u: "One is Plato."

 

The premise arrangement has this form:



In order to form a valid conclusion, we may need to change the order in which the premises are listed. Remember: we want the first premise to be a statement whose antecedent is a variable that appears only one time in the entire scheme. The variables that appear only once are s and u. That means that we could use either
or for our first premise (either choice will lead us to the correct answer).

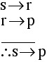
We will use
for the first premise.

First premise:


To continue the chain of reasoning, we must return to the orginal premise list and find a premise whose antecedent is "r." We see that from the original list,
will continue the chain of reasoning.

First premise:


Second premise:


To again continue the chain of reasoning, we must return to the orginal premise list and find a premise whose antecedent is "p." We see that from the original list,
will continue the chain of reasoning.

First premise:


Second premise:


Third premise:


To finish the chain of reasoning, we must return to the orginal premise list and find a premise whose antecedent is "q." We see that none of the premises from the original list have "q" for their antecedent; however, the premise
"is equivalent to its contrapositive, so we may use that contrapositive form for the fourth premise.

First premise:


Second premise:


Third premise:


Fourth premise:


We have used all four premises in a way that leads to a valid conclusion through Transitive Reasoning:



 

In words, the valid conclusion is "If one is a 300 pound man with bleached hair and sequined tights, then one isn't Plato." This isn't one of the listed choices, but recall that its contrapositive will also be a valid conclusion: "If one is Plato, then one isn't a 300-pound man with bleached hair and sequined tights." This this statement is choice B phrased in more natural language. The correct choice is B.

 

One further note: from this pattern



there are many other valid conclusions that could be formed by using just a few of the premises. For instance, if we use just the first two premises, we could form this valid argument:



and so a valid conclusion would be "All 300-pound men with bleached hair and sequined tights are body builders."

Likewise, if we concentrate on just the second and third premises we could form this valid argument:



and so a valid conclusion would be "If one is a professional wrestler, then one isn't weak" or, more directly, "No professional wrestler is weak."

We can refer to valid conclusions such as these, which rely on only a proper subset of the orginal premise set, as minor valid conclusions.