EXAMPLE 2.5.8 SOLUTION

Let p be the statement "You want a better grade."

Let q be the statement "You bring an apple for the teacher."

Let r be the statement "You expose the teacher to dangerous agricultural chemicals."

 

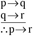
The premise arrangement has this form:



We see that this is the arrangement of premises for Transitive Reasoning, which is a form of valid reasoning. This means that we will be able to form a valid conclusion, namely:



 

In words, the valid conclusion is "If you want a better grade, then you expose the teacher to dangerous agricultural chemicals."

 

Unfortunately, this isn't one of the listed choices. We may now refer to the following fundamental fact: If we have a statement that is a valid conclusion for an argument, then any equivalent statement will also be a valid conclusion.

In this particular case, the statement
is a valid conclusion, so its equivalent contrapositive will also be a valid conclusion. Im words, the contrapositive of "If you want a better grade, then you expose the teacher to dangerous agricultural chemicals," will also be a valid conclusion. This is the statement "If you don't expose the teacher to dangerous agricultural chemicals, then you don't want a better grade."

The correct choice is B.