EXAMPLE 3.5.1

Suppose we have one six-sided die, and a spinner such as is used in a child's game. When we spin the spinner, there are four equally likely outcomes: "A," "B," "C," and "D." An experiment consists of rolling the die and then spinning the spinner. How many different outcomes are possible?

What is the probability that the outcome will be "3-C?"

SOLUTION

There are 6 equally likely outcomes when we roll the die, and 4 equally likely outcomes when we spin the spinner. According to the Fundamental Counting Principle, when we roll the die and spin the spinner the number of equally likely outcomes is (6)(4) = 24. Among these 24 equally likely outcomes, exactly one of them is the outcome "3-C," so the probably of getting "3-C" is 1/24.

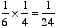
Now view the process from a different point of view. Notice that if we just roll the die, the probability of getting a "3" is 1/6. If we just spin the spinner, theprobability of getting a "C" is 1/4. Notice that.

In other words, if we consider the process to be a two-part experiment, the probability of getting both a "3" on the first part and a "C" on the second part is the same as the probability of getting the "3" multiplied by the probability of getting the"C." The is not a coincidence. It is an illustration of the Multiplication Rule for Independent Events.