EXAMPLE 2.7.5
The radius of the Earth is about 4000 miles. The radius of the Sun is about 400,000 miles. How many times bigger than the Earth is the Sun?
A. 10
B. 100
C. 1,000
D. 1,000,000
SOLUTION
To compare the size of the Earth with the size of the Sun we can divide the volume of the Earth into the volume of the Sun. This will tells us how many Earths would "fit into" the Sun.
We use the following formula to find the volume of a sphere:
![]()
The volume of the Earth, with its 4,000 miles radius, is
![]()
The volume of the Sun, with its radius of 400,000 miles, is
![]()
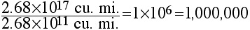
Now divide the volume of the Sun by the volume of the earth:
![]()
The Sun is about one million times the size of the Earth; that is, if it were hollow the Sun could contain roughly 1,000,000 Earths .